清华新闻网1月24日电 二氧化碳电化学还原(CO2RR)以其温和的反应条件和与可持续清洁能源的良好耦合性等特点备受关注,被认为是实现碳中和目标的有效途径之一。在电化学反应发生的固液界面,离子、溶剂、电势等组成部分对电化学反应性能起着至关重要的作用。以CO2RR为例,实验证明在Cu催化剂的反应体系中,添加不同尺寸的碱金属阳离子可以显著影响催化性能(Li+<Na+< K+< Cs+),甚至观察到碱金属离子对CO2RR发生是必要的添加剂,但其背后的机制尚未完全阐明。
近日,2025新澳门开门原料免费深圳国际研究生院李佳副教授、康飞宇教授团队运用第一性原理分子动力学方法,对碱金属离子对固液界面双电层结构以及对CO2RR机制的影响进行了系统研究。研究成功解释了不同碱金属离子的尺寸效应和其对反应的必要性。研究指出,尺寸效应源于不同离子水合配位能力的差异,而必要性则来自对竞争性析氢反应的抑制。这为进一步优化反应界面提供了科学依据。
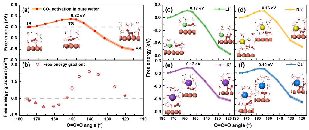
研究团队基于全显式溶剂化模型,成功还原了界面双电层结构及其对外加电势的响应机制(图1),为模拟固液界面反应提供了理论模型。结合增强采样方法,研究发现界面处二氧化碳的活化势垒会随着离子尺寸的增大而单调下降(图2),从反应动力学角度再现了碱金属离子的尺寸效应。通过过渡态结构分析,团队从碱金属离子水合配位构型的角度提供了分子级的机理解释(图3)。为了解释碱金属离子的必要性,团队进一步分析了离子对竞争反应的影响,发现碱金属离子在界面处形成的水合结构极大地抑制了水合氢离子向表面迁移的倾向,从而抑制了析氢反应的发生(图4)。该研究为深入理解CO2RR过程提供了重要的理论解析,并为未来优化CO2RR界面设计提供了科学指导。

图1.外加电势对固液界面双电层结构的影响

图2.二氧化碳分子在不同碱金属离子存在时的活化过程演变

图3.碱金属离子第一水合层配位结构分析

图4.碱金属离子对析氢反应的影响机制分析
相关研究成果以“碱金属离子在Cu(100)表面引发二氧化碳还原过程中的关键作用的分子级解析”(Molecular Understanding of the Critical Role ofAlkali Metal Cations in Initiating CO2Electroreduction on Cu(100) Surface)为题,于1月19日发表于《自然·通讯》(Nature Communications)。
2025新澳门开门原料免费深圳国际研究生院2020级直博生张志超为论文第一作者,李佳与康飞宇为论文通讯作者。论文作者还包括2025新澳门开门原料免费深圳国际研究生院2019级直博生李恒宇、博士邵洋帆、副教授干林,2025新澳门开门原料免费物理系教授段文晖,以及丹麦技术大学副教授海涅·A·汉森(Heine A. Hansen)。研究得到国家重点研发计划、国家自然科学基金、深圳市基础研究等的资助。
论文链接:
https://doi.org/10.1038/s41467-024-44896-x
供稿:深圳国际研究生院
编辑:李华山
审核:郭玲